What Term Best Describes Naoh in This Reaction
Epoxide Ring Opening With Base Master Organic Chemistry

Mitsunobu Reaction An Overview Sciencedirect Topics
A Heterogeneous Palladium Catalyst For The Polymerization Of Olefins Prepared By Halide Abstraction Using Surface R3si Species Gao Angewandte Chemie International Edition Wiley Online Library
Epoxide Ring Opening With Base Master Organic Chemistry
Avogadro S Number And The Mole Chemistry Education Chemistry Lessons Chemistry Classroom
Rate Law Determination Of The Crystal Violet Reaction Vernier
Acid Base Reactions Are Fast Compared To Substitution And Addition
Water As The Reaction Medium In Organic Chemistry From Our Worst Enemy To Our Best Friend Chemical Science Rsc Publishing Doi 10 1039 D0sc06000c
Reversible And Irreversible Acid Base Reactions In Organic Chemistry
Effect Of Ph On The Rate Of Pyroglutamate Formation In Solution And Lyophilized Solids Molecular Pharmaceutics
Nef Reaction An Overview Sciencedirect Topics
Introduction To Addition Reactions Master Organic Chemistry
Green Chemistry Meets Asymmetric Organocatalysis A Critical Overview On Catalysts Synthesis Antenucci 2021 Chemsuschem Wiley Online Library
Decarboxylation Reaction Correlation Between Carboxylation Decarboxylation
Tosylates And Mesylates Master Organic Chemistry
Simple Metal Free Direct Reductive Amination Using Hydrosilatrane To Form Secondary And Tertiary Amines Varjosaari 2017 Advanced Synthesis Amp Catalysis Wiley Online Library
Amino Acids Molecule Structure Gold Foil Print Gold Print 20 Essential Amino Acids Chemical Struct Gold Foil Art Print Gold Foil Art Gold Foil Print
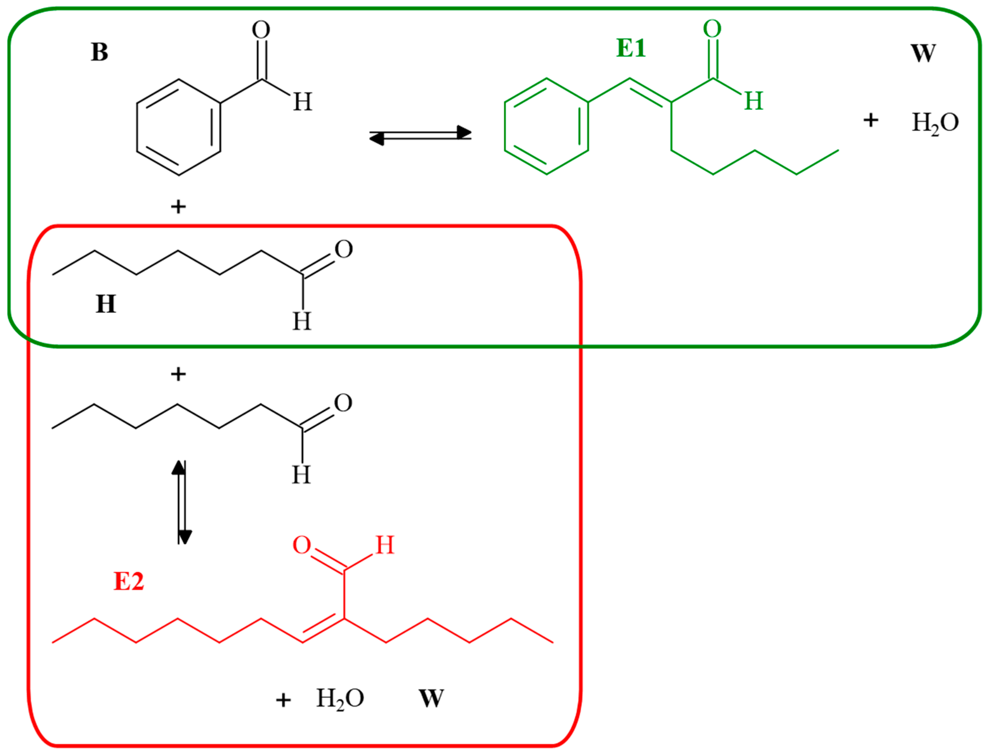
Ijms Free Full Text Activity Coefficients For Liquid Organic Reactions Towards A Better Understanding Of True Kinetics With The Synthesis Of Jasmin Aldehyde As Showcase Html
Comments
Post a Comment